
目次
前回、メルカトル図法における緯度の間隔の謎解きを紹介しました。1/cosθの定積分がその答えです。このあとは次の4ステップで詳細を追っていきます。
- 定積分の計算
- 双曲線関数:定積分とグーデルマン関数の関係を語るために必要な数学
- グーデルマン関数
- メルカトル図法の検証:地図の実測値と理論値の比較
1. 定積分の計算
「x²の微分は2x」は「2xの不定積分(原始関数)はx²」と言い換えることができます。微分の関係◯'=△に対して、△は◯の導関数(微分)、◯は△の原始関数(不定積分)といいます。「原始」とは微分して△となる「もとの」関数という意味です。
下図のように不定積分の長い計算が続きます。高校数学の微分積分の知識があれば計算できます。変形の度に用いた公式・式変形を右側に付記しました。三角関数、対数関数の基本および微分法・積分法の公式が使われていることがわかります。
微分と積分の計算の対比は式の展開と因数分解のそれに似ています。微分と展開はカンタン、積分と因数分解はムズカシイ。積分と因数分解は「パズルを解く」という感覚がピッタリです。巧く式変形をすることで“解ける”形に導きます。

不定積分が分かれば、定積分の計算はあっという間です。定積分のxに0とφを代入して引き算すればいいのです。はたして、結果は図の赤い式です。
この公式より、半径1の地球でのメルカトル図法上の赤道から緯度φまでの距離が計算できます。
2. 双曲線関数
2-1. 双曲線関数の定義
この定積分の結果によりメルカトル図法製作の鍵は得られたことになります。ここからはこの定積分の性質──メルカトル図法の定積分はグーデルマン関数の逆関数──に迫っていきます。
それには双曲線関数が必要になります。三角関数は高校数学で扱いますが、双曲線関数は、数学科・物理学科・工学部などで扱うことになる数学です。グーデルマン関数を説明するために必要なところだけに絞って双曲線関数を説明します。
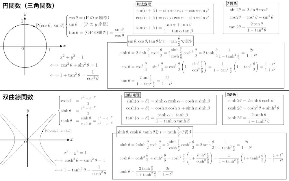
双曲線関数のポイントは、三角関数と比較して理解することです。三角関数とは円x²+y²=1のパラメーター表示と言い換えることができます。すなわち、円周上の点P(x,y)は、x=cosθ、y=sinθとパラメーターθを用いて表すことができるということです。このことから、三角関数は円関数とも呼ばれます。
これに対して、双曲線x²-y²=1上の点P(x,y)をパラメーターθを用いて表したのがx=coshθ、y=sinhθです。cosh、sinhが双曲線関数で、coshは双曲線余弦関数(hyperbolic cosine、ハイパボリックコサイン)、sinhは双曲線正弦関数(hyperbolic sine、ハイパボリックサイン)と呼ばれます。
三角関数のtanがsin/cosで定義されるのと同じく、双曲線関数tanhはsinh/coshで定義され双曲線正接関数(hyperbolic tangent、ハイパボリックタンジェント)と呼ばれます。

2-2. 双曲線関数の加法定理
三角関数における加法定理は双曲線関数にもあります。加法定理とは、sin、cos、tanの引数に2変数の和を与えた返り値を変数それぞれのsin、cos、tanで表す公式です。加法定理から2倍角の公式、2倍角の公式から「sinθ、cosθ、tanθをt=tanθ/2で表す」公式が導かれます。
「sinθ、cosθ、tanθをt=tanθ/2で表す」公式は三角関数の積分で大活躍します。被積分関数がsinθ、cosθ、tanθで構成される場合に、この公式によりtの式に変換されることで積分計算が容易にできるようになります。
これと全く同じことが双曲線関数でもいえます。「sinhθ、coshθ、tanhθをt=tanhθ/2で表す」公式が、グーデルマン関数──sinh、cosh、tanhの積分計算に役立ちます。

2-3. 逆双曲線関数
三角関数は、ネイピア数eと虚数iを用いて表すことができます。本連載「オイラーの公式|三角関数・複素指数関数・虚数が等式に集約されるまでの物語(記事はこちら)」で詳細をご覧いただけます。それに対して双曲線関数はネイピア数eだけで表すことができます。
そのことで、双曲線関数は三角関数と違った一面を見ることになります。逆関数です。三角関数は、θを引数として円周上の点のx座標が返り値となる関数です。この関係を逆に、円周上の点のx座標を引数としてθが返り値になるような関数を考えることができます。これが逆三角関数です。
双曲線関数でも同じように逆関数を考えることができるのですが、三角関数と違うのは逆関数がxの式で表される点です。双曲線関数がeの式(指数関数)で表されることから、x=coshθ=(eのθ乗の式)をθについて解くことができて、θ=(xの式)と表すことができます。
2-4. 逆双曲線関数の表記
sinh⁻¹
関数fの逆関数(inverse function)は、aの逆数がa⁻¹と表されることからf⁻¹と記されます。三角関数・双曲線関数もsin、sinhの逆関数はsin⁻¹、sinh⁻¹です。この一般的な書き方の他に、逆三角関数・逆双曲線関数には複数の表し方があります。
arcsinh
三角関数sinの逆三角関数はarcsinのようにarc-をもとの関数名に付けます。三角関数の引数θは弧長を表しています。弧を表す英語arcが由来です。
このarcを双曲線関数sinhの逆双曲線関数にも付けてarcsinhと表します。手元にある『岩波 数学公式I 微分積分・平面曲線』(岩波書店、1956年初版、森口繁一著、宇田川銈久著、一松信著)でも、逆双曲線関数はarcsinh、arccosh、arctanhと表記されています。
arsinh
逆双曲線関数は双曲線関数sinhにar-を付けてarsinhと表します。双曲線関数の引数θは面積を表しています。面積を表す英語areaがarの由来です。

asinh
arcsinhとarsinhはどちらも使われています。それぞれに主張があり。多くのコンピューター言語では、arc-かar-の論争を避けるためにa-が使われ、逆双曲線関数はasinh、acosh、atanhです。
2-5. 関数電卓の逆三角関数の表記
手元にある関数電卓で調べてみました。
1976年製CASIO fx-102には双曲線関数がありません。1978年製CASIO fx-140では、arsinhは「INV」「hyp」「Sin」です。INV、hypはそれぞれ逆関数(inverse function)、hyperbolicの頭文字です。1979年製SHARP EL-514では、「arc hyp」(「hyp」の2ndF)「sin」で、arcが使われています。


最新のスマホの電卓アプリでは、iOSではsinh⁻¹、アンドロイドには双曲線関数がありません。
結局、逆双曲線関数の表記はどれがいいのか・正しいのか。紹介した4つの表記すべてが使われている現状を踏まえると、どれか1つに絞るというよりも4つの表記があることを承知した上でTPOに合わせて使うのが現実的といえるでしょう。
これでグーデルマン関数を語る準備ができました。次回はメルカトル図法の定積分とグーデルマン関数の関係に迫っていきます。
インフォマティクスからのお知らせ
今回のコラムでは、メルカトル図法の背後にある数学的な仕組みとして、三角関数や双曲線関数との関係をご紹介しました。
一見、抽象的に見えるこれらの数学は、実際には地図の作成や位置情報の取り扱いといった現実の技術と深く結びついており、GIS(地理情報システム)は、こうした地図投影や座標変換の考え方を基盤とした仕組みです。
当社では、GIS製品や、GISを基盤としたソリューションの提供を通じて、行政・インフラ・防災・金融・不動産など、さまざまな分野での空間情報活用を支援しています。システム構築にとどまらず、課題整理から設計、分析、運用まで一気通貫でサポートします。
GISの具体的な活用例や提供サービスについて、製品・サービス紹介ページにてご案内しています。ご関心をお持ちの方は、ぜひご覧ください。
GISやAI機械学習を使った業務システムの構築に関するご相談を承っています。お気軽にお問い合わせください。